首页
日本语言学校
日本大学院
前辈留学秀
留学资讯
关于我们
联系方式
手机: 13311656510
在线微信
首页
>
留学资讯
>
留学新闻
> 正文
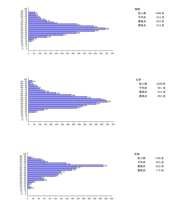
2023年度日本留学试验 科目别平均点等
2023-08-02 来源: 点击:
2750
2023年日本留学试验分数点一览.pdf
上一篇:
日本入国不再需要核酸
下一篇:
2023年12月日本语能力测试(JLPT)报名
点击排名
日本留学一年要多少钱?能否通过打工抵消?
日本留学的15大好处!
留学生去日本是SIM还是WIFI更重要
日本报考哪所学校?哪些学校好?不同专业分别适合哪些学校
日本报考哪所学校?哪些学校好?从E到SSS级的学校!
2023年12月日本语能力测试(JLPT)报名
2023年度日本留学试验 科目别平均点等
日本的奖学金制度详细解释(下)
微信公众号
微信二维码
13311656510